光的波粒二象性
各个区间波长的分布见下图,可见光,又可分为紫光(390-450)蓝光(450--490nm),绿光(490-570nm),红光(620-780nm)。

光子的能量跟波长成反比,h为普朗克常数,C为光速,都为常量。下面公式1是基于把光当成电磁波来看。

大气质量:太阳光穿过大气层的路径,AM1.5为1.5倍垂直入射穿过大气层的距离,也就是θ=48度。AM0条件下,太阳能垂直入射到地球最大的光强为1366W/㎡。
快盈二极管以及光伏发电原理
快盈价带:共价键束缚载流子自由移动,不能参与导电。导带:电子可以自由移动。禁带:介于价带和导带之间。禁带宽度:一个电子从价带运动到能参与导电的自由状态所需要吸收的最低能量值,硅材料禁带宽度1.12ev,对应110nm波段。载流子:电子和空穴都能参与导电并都称为。电子移向导带的运动导致了电子本身的移动。电子移动过程还产生了空穴在价带中的移动。本征载流子:没有注入能改变载流子浓度的杂质的半导体材料叫做本征材料,浓度跟材料本身以及温度有关系,且电子空穴数目相等。N型半导体:掺杂后多子带负电,例如掺磷。P型半导体:掺杂后多子带正电,例如掺硼,掺镓。晶体硅的原子结构,最外层电子由四对共用电子对组成。
太阳能电池片最重要的参数
禁带宽度:电子从从价带到导带跃迁需要的最小能量;导带自由载流子数量;光照条件下产生和复合的自由载流子数量。

平衡载流子浓度本征载流子浓度由材料以及温度所决定,温度越高,载流子浓度越高。平衡载流子浓度:在没有偏置情况下,导带和价带的载流子数量称为平衡载流子浓度。多子数量等于本征自由载流子数量加上参杂的自由载流子数量,一般情况下,参杂的载流子数量大于本征载流子数量的几个数量级,也就是约等于参杂浓度。Ni: 本征载流子数量。n0p0:分别代表电子和空穴载流子数量。

光的吸收:
快盈Eph<Eg 光子能量Eph小于禁带宽度Eg,光子与半导体的相互作用很弱,只是穿过,似乎半导体是透明的一样。Eph=Eg:光子的能量刚刚好足够激发出一个电子-空穴对,能量被完全吸收。Eph>Eg:光子能量大于禁带宽度并被强烈吸收。
吸收深度:

快盈400nm以下紫外波段,在硅片厚度0.1um处被完全吸收。400—800nm可见光波段,在硅片厚度10um处被完全吸收。800-1000nm近红外波段,在硅片厚度100um处被完全吸收。1100nm近红外处波段,能穿透硅片厚度超过1000um。载流子的产生率:不同波段光在电池片厚度的产生率:蓝光在0.1um处被完全吸收;红光在50um处几乎被完全吸收;近红外光在100um处还能激发表面90%的载流子,吸收很慢。全波段总的生成率:在电池片表面,因短波段基本集中在表面,故激发的载流子数量最多,然后随着硅片厚度增加光的吸收逐步递减,导致载流子数量逐步减少。

三种复合:
辐射复合:电子空穴的复合,激发出近似禁带宽度的1100nm的光,也是EL/PL发光的原理。
快盈俄歇复合:涉及两个电子,一个空穴。电子跟空穴复合,传递能量给另外一个电子做运动,没有光激发。主要体现在重掺杂或者加热高温材料。
肖克莱-雷德-霍尔复合:也叫复合中心的复合或者缺陷复合,直接吸收电子或者空穴,辐射出能量非常弱的光。
扩散长度/少子寿命
少子扩散长度:在复合之前一个载流子从产生处开始运动的平均路程。少子寿命:在复合之前一个载流子从产生到复合的平均时间。表面复合半导体表面的缺陷是由于晶格排列在表面处的中断造成的,即在表面处产生挂键,所以电池表面是一个复合率非常高的区域。减少挂键的数目可以通过在半导体表面处生长一层薄膜以连接这些挂键,这种方法也叫做表面钝化。

载流子的运动:
在大多数情况下,电子是电场相反的方向运动。扩散:在两个不同浓度的区域之间将会出现载流子梯度。载流子将从高浓度区域流向低浓度区域。漂移:由外加电场所引起的载流子运动叫“漂移运动”。
快盈PN结:n型半导体区域的电子浓度很高,而p型区域的空穴浓度很高,所以电子从n型区扩散到p型区,同理,空穴从P型区扩散到n型区。当电子和空穴运动到pn结的另一边时,也在杂质原子区域留下了与之相反的电荷,这种电荷被固定在晶格当中不能移动。在n型区,被留下的便是带正电的原子核,相反,在p型区,留下的是带负电的原子核。于是,一个从n型区的正离子区域指向p型区的负离子区域的电场E就建立起来了。这个电场区域叫做“耗尽区”,因为此电场能迅速把自由载流子移走,因此,这个区域的自由载流子是被耗尽的。正向偏压下的二极管(核心知识点)
正向偏压(也叫正向偏置)指的是在器件两边施加电压,以使得pn结的内建电场减小。电场的减小将破坏pn结的平衡,即减小了对载流子从pn结的一边到另一边的扩散运动的阻碍,增大扩散电流。
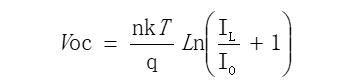
从pn结的一端到另一端的扩散运动的增加导致了少数载流子(少子)往耗散区边缘的注入。这些少数载流子由于扩散而渐渐远离pn结并最终与多数载流子(多子)复合。在正向偏置下的扩散电流也是复合电流。复合的速度越高,通过pn结的扩散电流就越大。“暗饱和电流”(I0)是区别两种不同二极管的非常重要的参数。I0是衡量一个器件复合特点的标准,二极管的复合速率越大,I0也越大。
反向偏压
反向偏置电压是指在器件两端加电场,以使pn结增大。在pn结中的内建电场越大,载流子能从pn结一段扩散至另一端的概率就越小,即扩散电流就越小。
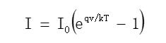
理想二极管方程:

快盈I为通过二极管的净电流;
快盈I0为暗饱和电流(在没有光照情况下输出的电流),I0随着T的升高而增大。在温度为300k时,KT/q=25.85mV。
V是施加在二极管两端的电压;
q和k分别代表电荷的绝.对值和玻耳兹曼常数;
T则表示绝.对温度(K)。
收集概率:(可结合载流子产生率对比)
快盈“收集概率”描述了光照射到电池的某个区域产生的载流子被pn结收集并参与到电流流动的概率,它的大小取决于光生载流子需要运动的距离和电池的表面特性。在耗散区的所有光生载流子的收集概率都是相同的,因为在这个区域的电子空穴对会被电场迅速地分开。当载流子在与电场的距离大于扩散长度的区域产生时,那么它的收集概率是相当低的。相似的,如果载流子是在靠近电池表面这样的高复合区的区域产生,那么它将会被复合。下面的图描述了表面钝化和扩散长度对收集概率的影响。

量子效率:
快盈所谓“量子效率”,即太阳能电池所收集的载流子的数量与入射光子的数量的比例。量子效率即可以与波长相对应又可以与光子能量相对应。如果某个特定波长的所有光子都被吸收,并且其所产生的少数载流子都能被收集,则这个特定波长的所有光子的量子效率都是相同的。而能量低于禁带宽度的光子的量子效率为零。下图将描述理想太阳能电池的量子效率曲线。
快盈光伏效应(核心知识点)
电池开路的情况下,pn结的正向偏压处在新的一点,此时,光生电流大小等于扩散电流大小,且方向相反,即总的电流为零。
电池短路的情况下,将不会出现电荷的聚集,因为载流子都参与了光生电流的流动,短路电流等于光生电流(同样等于开压状态下内部扩散电流)。
工作状态下,其电流等于光生电流减去太阳能电池内部扩散电流。
快盈短路电流等于光生电流,且等于内建电场作用下的漂移电流,也是电池片能提供的最大的电流。
开路电压下,光生载流子导致正向偏压从而消弱内建电场,增加扩散电流,光生电流等于扩散电流且方向相反。

快盈工作状态下,流出电池的电流大小就等于光生电流与扩散电流的差。
内建电场代表着对前置扩散电流的障碍,所以电场减小的同时也增大扩散电流。

复合机制对开路电压的影响(核心难点)
PN结边缘的少子数量,越少,耗尽区越宽,则需要增加掺杂浓度。
快盈扩散长度。掺杂浓度越高,扩散长度越低(扩散电流越大),则需要降低掺杂浓度。
二者需要达到平衡。

ECV曲线解读

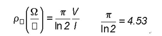
体电阻(硅片电阻率):电阻是纵向的,电子垂直移动然后到达表面。故移动的距离为电池片厚度,横截面为电池片面积,即R=ρW/A
方块电阻:电阻是横向的,不是垂直纵向,即横截面积等于距离L乘以厚度T,所以电阻R=ρ L / (L*T),只要L是正方形边长,则方块电阻只跟电阻率以及N区厚度有关系。
快盈方块电阻的测量非常容易,通过四探针测试方法,外面两根探针提供电流,中间两根探针处产生压降,N区和P区之间的PN结作为结缘体。注意测试必须在暗室。

快盈太能能电池等效电路图(核心知识点)

快盈引起串联电阻的因素有三种:第一,穿过电池发射区和基区的电流流动;第二,金属电极与硅之间的接触电阻;第三便是顶部和背部的金属电阻。串联电阻对电池的主要影响是减小填充因子,此外,当阻值过大时还会减小短路电流。串联电阻并不会影响到电池的开路电压,因为此时电池的总电流为零,所以串联电阻也为零。
快盈并联电阻RSH造成的显著的功率损失通常是由于制造缺陷引起的。
温度效应
本征载流子随着温度高,浓度高,导致暗电流增加,复合增加,从而导致开路电压下降。










爱疆微信


在线
咨询
关注